2024학년도 광동고등학교 1학년 1학기 2차 지필평가
객관식 16번
[공통수학1] 여러가지 방정식_ $x^{3}=1$의 한 허근 $w$
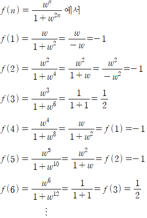
삼차방정식 $x^{3} =1$의 한 허근을 $w$라 하고, 양의 정수 $n$에 대하여
$f \left(n \right)= \frac{w^{n}}{ 1+ w^{2n}}$
이라 할 때,
$f \left(1 \right)-f \left(2 \right)+ f \left(3 \right)- f \left(4 \right)+ \cdots + f \left(21 \right)$
의 값은? [5.4점]
① $- \frac{1}{2}$ ② $0$ ③ $ \frac{1}{2}$
④ $1$ ⑤ $\frac{3}{2}$





반응형
LIST
'[내신]학교 지필평가 대비 > [공통수학1] 이차방정식' 카테고리의 다른 글
| [2024 덕현고1] 1학기 2차 지필평가 9번_ 대칭형의 연립이차방정식 (0) | 2025.05.09 |
|---|---|
| [2024학년도 부용고1] 1학기 2차 지필평가 7번_ 연립이차방정식의 활용(직사각형의 넓이) (0) | 2025.05.09 |