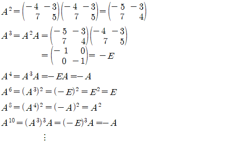
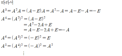
$ A= \begin{pmatrix} -4 & -3 \\ \ 7 & \ \ 5 \\ \end{pmatrix}$일 때, $E+ A^{2} + A^{4} + A^{6} + \cdots + A^{100}$을 간단히 하면?
① $E$ ② $A$ ③ $O$
④ $-A$ ⑤ $-2A$












반응형
LIST
'학교 수학자료 > [학교]1학년 1학기' 카테고리의 다른 글
| 2025 청학고 자료_ 행렬의 곱셈의 성질 진위 추론 (0) | 2025.06.20 |
|---|---|
| 2025 청학고 자료_ 행렬의 거듭제곱과 성분의 규칙성 (0) | 2025.06.19 |
| 2025 청학고 프린트 문제_ 1과 2를 이용하여 5자리 자연수 만들기 (0) | 2025.06.19 |
| [공통수학1] 영석고 프린트 문제_ 인수분해를 이용한 수의 값 (0) | 2025.04.24 |
| 영석고 프린트 문제_ 항등식과 나머지정리 (0) | 2025.04.22 |