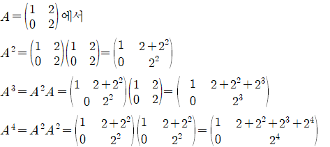
$ A= \begin{pmatrix} 1 & 2 \\ 0 & 2 \\ \end{pmatrix}$에 대하여
$ A^{9} =\begin{pmatrix} 1 &a \\ 0 & b \end{pmatrix}$ 일 때, $a-b$의 값을 구하시오.






반응형
LIST
'학교 수학자료 > [학교]1학년 1학기' 카테고리의 다른 글
| 2025 청학고 자료_ 행렬의 곱셈의 활용 (0) | 2025.06.20 |
|---|---|
| 2025 청학고 자료_ 행렬의 곱셈의 성질 진위 추론 (0) | 2025.06.20 |
| 2025 청학고 자료_ 행렬의 거듭제곱과 행렬식의 규칙성 (0) | 2025.06.19 |
| 2025 청학고 프린트 문제_ 1과 2를 이용하여 5자리 자연수 만들기 (0) | 2025.06.19 |
| [공통수학1] 영석고 프린트 문제_ 인수분해를 이용한 수의 값 (0) | 2025.04.24 |