2024학년도 송양고등학교 1학년
1학기 2차 지필평가 객관식 17번
[공통수학1] 여러가지 방정식_ 연립방정식의 활용(입체도형)
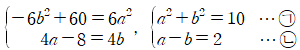
한 모서리의 길이가 $a$인 정육면체 모양의 입체도형이 있다. 이 정육면체에서 그림과 같이 밑면의 반지름의 길이가 $b$이고 높이가 $2$인 원기둥 모양의 구멍을 팠더니 남아있는 입체도형의 겉넒이가 $ -6b^{2} +60 + \left(4a-8 \right) \pi$가 되었다. 두 유리수 $a$, $b$에 대하여 $a+b$의 값은? $\left(단, a>2 \right)$ [5.1점]

① $3$ ② $4$ ③ $5$
④ $6$ ⑤ $7$







반응형
LIST
'[내신]학교 지필평가 대비 > [공통수학1] 여러가지 방정식' 카테고리의 다른 글
| [2024 발곡고1] 1학기 2차 지필 18번_ 연립방정식의 활용_ 넓이와 부피 (0) | 2025.06.25 |
|---|---|
| [2024 덕정고1] 1학기 2차 지필 18번_ x³ =±1의 한 허근 w (3) | 2025.06.25 |
| [2024 의정부고1] 1학기 2차 지필평가 17번_ 사차방정식의 근의 판별과 부등식(상반방정식) (1) | 2025.06.10 |
| [2024 송양고1] 1학기 2차 지필평가 16번_ 대칭형의 연립방정식의 근의 판별 [심화] (0) | 2025.06.02 |
| [2024 광동고1] 1학기 2차 지필평가 15번_ 연립이차방정식의 근의 판별(대칭형) (0) | 2025.05.31 |