2024학년도 덕정고등학교 1학년 1학기 2차 지필평가
객관식 18번
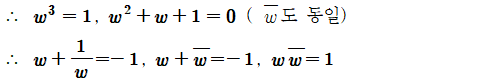
[공통수학1] 여러가지 방정식_ $x^{3} = ± 1$의 한 허근 $w$
삼차방정식 $x^{3} -1=0$의 한 허근을 $w$라 할 때, $(3w+1)(3 \bar{w} +1)+ w^{200} + {1 \over {w}^{200}}$의 값은?
( 단, \bar w는 w의 켤레복소수이다. ) [4.5점]
① $-3$ ② $0$ ③ $3$ ④ $6$ ⑤ $9$





반응형
LIST
'[내신]학교 지필평가 대비 > [공통수학1] 여러가지 방정식' 카테고리의 다른 글
| [2024 경민고1] 1학기 2차 지필 18번_ 연립일차부등식의 활용 [금액의 범위] (0) | 2025.06.25 |
|---|---|
| [2024 발곡고1] 1학기 2차 지필 18번_ 연립방정식의 활용_ 넓이와 부피 (0) | 2025.06.25 |
| [2024 송양고1] 1학기 2차 지필평가 17번_ 연립방정식의 활용 (입체도형) (1) | 2025.06.10 |
| [2024 의정부고1] 1학기 2차 지필평가 17번_ 사차방정식의 근의 판별과 부등식(상반방정식) (1) | 2025.06.10 |
| [2024 송양고1] 1학기 2차 지필평가 16번_ 대칭형의 연립방정식의 근의 판별 [심화] (0) | 2025.06.02 |