2024학년도 옥빛고등학교 1학년 1학기 2차 지필평가
객관식 15번
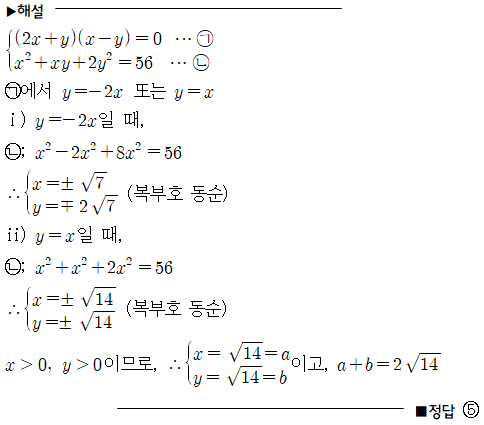
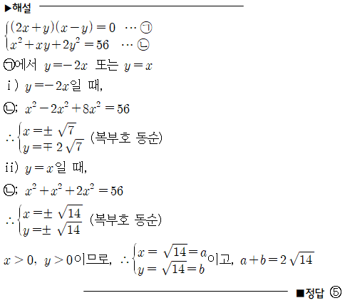
[공통수학1] 연립이차방정식의 풀이
연립방정식 $\begin{cases} (2x+y)(x-y)=0 \\ x^2 +xy +2y^2 =56 \end{cases}$의 해 중 $x>0$, $y>0$을 만족시키는 해를 $x=a$, $y=b$라 할 때, $a=b$의 값은? [4.5점]
① $2 \sqrt2$ ② $2 \sqrt5$ ③ $2 \sqrt6$
④ $2 \sqrt11$ ⑤ $2 \sqrt14$

반응형
LIST
'[내신]학교 지필평가 대비 > [공통수학1] 여러가지 방정식' 카테고리의 다른 글
| [2024 광동고1] 1학기 2차 지필평가 15번_ 연립이차방정식의 근의 판별(대칭형) (0) | 2025.05.31 |
|---|---|
| [2024 영석고1] 1학기 1차 지필평가 15번_ 연립이차방정식의 근의 판별 (0) | 2025.05.29 |
| [2024 의정부고1] 1학기 2차 지필평가 15번_ 삼차사차방정식의 활용(부피와 겉넓이) (0) | 2025.05.27 |
| [2024 송현고1] 1학기 2차 지필평가 14번_ x³ =±1의 한 허근 w (0) | 2025.05.26 |
| [2024 광동고1] 1학년 1학기 2차 지필평가 14번_ 사차방정식의 근을 알 때 (0) | 2025.05.23 |